LED-Ringleuchte

Hier werden Fragen zu LED-Grundlagen beantwortet...

Moderator: T.Hoffmann

Antworten
mendowser
User
User
Beiträge: 20
Registriert: Sa, 17.09.11, 02:16

Sa, 17.09.11, 04:59

Hallo zusammen,
nachdem ich nun die halbe Nacht (genau wie die letzte) im Internet recherchiert habe, bin ich echt froh dass ich dieses Forum gefunden habe :)

Wie der Titel schon sagt, möchte ich mir eine LED Ringleuchte für meine Spiegelreflexkamera basteln.
Ich bin noch absoluter LED Anfänger, alles was ich weiss, habe ich mir die letzten 2 Tage angeeignet.

Es gibt zwar einige viele Projekte zu dem Thema im Internet, doch wie es oft so ist, weichen die Aussagen unheimlich voneinander ab und Ihr wirkt mir von all den Fach-Foren am kompetentesten!

Ich zähle mal auf was ich mir so vorgestellt habe und wäre wirklich Dankbar, wenn mich jemand korrigiert, bzw. ergänzt:

- Geplant ist ein Ring aus 32 LEDs (Beispiel)
- Die LEDs sollten auch ca. 12000mcd haben und 20° nicht unterschreiten (High-Power fällt wohl aus, da ich nicht kühlen kann)
- Mir wäre es lieb wenn deren Farbtemperatur so nah wir möglich an 5500k wäre
- Das ganze soll natürlich über Akku laufen (4x1,2V oder 9V, etc, was auch immer am besten ist)
- Sie sollten dafür ausgelegt sein, dass sie auch mal länger als ein paar minuten an sein können, ohne zu überhitzen
- Ach und Dimmbar sollte das ganze sein. Ob Analog oder Stufenweise spielt eine untergeordnete rolle, schöner wärs natürlich stufenlos


Das im o.g. Beispiel sind 4x8 LEDs in Reihe, scheinbar über eine Konstantstromquelle + Wiederstand etc.
Da hört es leider bei mir auf :/
Ich besitze ein paar ganz ganz abgespeckte Elektro-Basics und fühle mich hier "leicht" überfordert..

Ich bin momentan auf dem Stand, dass ich folgendes benötige (Platine etc. ist klar, es geht mir erstmal nur um die Schaltung).
- 32 LEDs
- Stromquelle (angestrebt 4 x 1,2V)
- Spannungswandler
- Konstantstromquelle
- Dimmer

Nach ewiger Suche bin ich momentan bei diesen LEDs gelandet : " LED 5mm warmweiß 20.000mcd WEEWW20-CS ", da hier die Mischung aus Lichtstärke, Winkel & Farbtemp. am ehesten Stimmt. Von der Farbe her wären diese hier natürlich nahezu perfekt Nichia 5mm LED weiß 30000mcd 15° NSPW500GS-K1, aber 15° ist echt zu wenig schätze ich.

Nur habe ich noch keinen schimmer welche Konstantstromquelle und Spannungswandler ich benötige, wo der Dimmer hin kommt und ob mein Vorhaben, so wie ich es plane machbar ist.

Über ein paar Gedankenimpulse wäre ich wirklich super Dankbar!!

So, es ist schon spät (früh) und ich hoffe ich habe daher nichts vergessen ;)


In diesem Sinne

Gruss
Mendowser
ustoni
Auserwählter
Auserwählter
Beiträge: 2140
Registriert: Sa, 04.06.11, 12:39
Wohnort: Mechernich

Sa, 17.09.11, 07:47

Mit beiden LED-Typen wirst Du für Deine Anwendung nicht glücklich werden. Die WWEW20 hat einen Colorindex (CRI) von 24, die Nichia wird da auch nur geringfügig besser sein. D. h. bei beiden LED-Typen ist die Farbwiedergabe miserabel.
In Frage kämen die SMD-LEDs NSSW157T und NSSL157T-H3 im Verhältnis 1:1. Aufgrund der Bauform (3 x 1,5 mm, Lötanschlüsse auf der Unterseite) sind diese LEDs für einen Anfänger praktisch nicht zu verarbeiten.
Wenn Du eine Ringleuchte mit guter Farbwiedergabe haben willst, kommst Du an Power-LEDs nicht vorbei. Wie wäre es damit:
Als Träger sägst Du Dir einen Aluminiumring zurecht, Innenlochdurchmesser groß genug für das Objektiv, Außendurchmesser 4 cm größer, Matrial mindestens 2 mm Alu. Auf die Oberseite klebst Du mit Wärmeleitkleber mindestens 16, besser mehr, dieser Kühlkörper:
http://www.conrad.de/ce/de/product/1879 ... -SMD-13X19
Als LEDs kommen dann folgende Typen in Frage:
http://www.leds.de/High-Power-LEDs/Nich ... x10mm.html (Farbtemperatur: 5000 K, CRI: 75, Abstrhalwinkel 120 Grad)
http://www.leds.de/High-Power-LEDs/Nich ... x10mm.html (farbtemperatur: 3500 K, CRI: 92 !!!)
Abhängig von der Betriebsspannung würdest Du je 8 oder 9 Stück für den Ring benötigen.
Den LED-Strom würde ich auf relativ niedrige 200 mA einstellen, das ergibt dann ca. 0,7 W je LED. Bei 9 V Betriebsspannung kannst Du je 2 LEDs in Reihe schalten und jeweils einen Vorwiderstand von 12 Ohm/1 W nehmen. Bei dem weissen LED-Typ kommst Du dann auf ca. 640 Lumen, beim warmweissen auf ca. 400 Lumen. Stromaufnahme des Rings: 800 mA.
Bei 12 V Betriebsspannung kannst Du je drei LEDs in Reihe schalten, der Vorwiderstand bleibt der gleiche. Bei 9 LEDs ergeben sich dann 720 bzw. 450 Lumen, Stromaufnahme: 600 mA.
mendowser
User
User
Beiträge: 20
Registriert: Sa, 17.09.11, 02:16

Sa, 17.09.11, 10:42

Hallo & vielen dank für die schnelle Antwort.
Das Klingt ja schon mal spannend, das ist auch der Grund warum ich nicht alleine zu Rande komme -> bei jedem meiner Fortschritte kommt eine neue Information hinzu (in diesem Falle CRI, nie gehört ^^), welche alles über den Haufen wirft..

"Problematischerweise" habe ich schon einen Aluring, welcher für 5mm LEDs ausgelegt wurde (vermutlich aus einem Verworfenen, ähnlichen Projekt ;) ).. diesen würde ich nach möglichkeit gerne Nutzen, da er recht schön verarbeitet ist. Desweiteren wäre die Wärmeentwickling ggf. ein Problem, da ich recht nah an manche Tiere müsste um diese zu Fotografieren (ich weiss ja nicht was wirklich an spürbarer Wärme rumkommt).

Hier müsste ich also ggf. einen Mittelweg aus Qualität & Ausbeute nehmen.
Was wäre denn Deiner Meinung nach das beste, was ich an 5mm (nicht-High-Power, bzw. nicht Kühlbedürftig) nutzen könnte ? Nur damit ich ein Verhältniss habe.
Was hat es beispielsweise mit dieser hier aufsich: Nichia 5mm Power LED weiß 28lm 120° NSDW570GS-K1 ? Aus diesen Daten werde ich auch wieder nicht schlau ^^

Grüssle
Mendowser
ustoni
Auserwählter
Auserwählter
Beiträge: 2140
Registriert: Sa, 04.06.11, 12:39
Wohnort: Mechernich

Sa, 17.09.11, 11:12

Dieser LED-Typ hat ein eher bläuliches Licht und scheint mir eher nicht geeignet. Lade Dir mal das Datenblatt dieser LED (den Link findest Du auf der von Dir angegebenen Seite). Auf Seite 11 findest Du oben rechts die spektrale Verteilung des Lichts. Dann lade das Datenblatt der von mir angegebenen warmweißen LED. Dort findest Du die spektrale Verteilung auf Seite 14. Wenn Du die beiden miteinander vergleichst, siehst Du was ich meine.

Ein guter Kompromiss könnten die folgenden Super Flux LEDs sein:
http://www.leds.de/Standard-LEDs/SuperF ... SS-K1.html
http://www.leds.de/Standard-LEDs/SuperF ... SS-K1.html
Die erste hat eine Farbtemperatur von 3500 Kelvin, die andere 6500 Kelvin. Bei beiden sieht aber das Spektrum recht gut aus. Ich würde die beiden im Verhälnis 1:1 mischen, also auf dem Ring abwechselnd weiß, warmweiß, weiß usw. Bei insgesamt 32 Stück erreichst Du etwa 600 Lumen, der CRI-Wert sollte mindestens bei 75 liegen. Die Farbtemperatur müßte dann ganz knapp über 5000 Kelvin liegen.
Die Abmessungen liegen mit 7,62 x 7,62 mm etwas über den 5 mm LEDs. Wenn Du die auf Deinem Ring unterbringst, ist Dein Problem gelöst. Für die jeweiligen Reihenschaltungen benötigst Du Widerstände mit 56 Ohm / 0,25 W.
mendowser
User
User
Beiträge: 20
Registriert: Sa, 17.09.11, 02:16

So, 18.09.11, 14:06

Hallo,
ich denke genau so werde ich´s machen :) Danke schonmal dafür!

Nun wäre die Frage was ich noch benötige. Als Dimmer kommt wohl dieser hier in Frage ?

Welche Teile werde ich noch benötigen (KSQ,Spannungswandler, etc) ?? Als Stromquelle nun 9V oder 4 x 1,2V ?

Du sagtest ausserdem dass ich die "jeweiligen" Reihnenschaltungen mit 56 Ohm schalten soll .. Du sprichst hier von den je 8 LEDs in Reihe und diese 4 Reihen schlisse ich parallel an die Stromquelle, bzw. an den Dimmer an, ja ? (Sorry, ich frage hier lieber akribisch genau ;) )
ustoni
Auserwählter
Auserwählter
Beiträge: 2140
Registriert: Sa, 04.06.11, 12:39
Wohnort: Mechernich

So, 18.09.11, 17:05

Die im letzten Post genannten Widerstände beziehen sich auf eine Betriebsspannung von 9 V. 4 x 1,2 V hat den Nachteil, dass Du für jede LED einen eigenen Vorwiderstand brauchst.
KSQs würde ich in Deinem Fall nicht empfehlen. Bei 9 V Betriebsspannung kannst Du nur jeweils 2 LEDs in Reihe schalten, Du brauchst also insgesammt 16 Reihenschaltungen mit je 2 LEDs und dementsprechend auch 16 Vorwiderstände. Außer den LEDs und den Vorwiderständen brauchst Du nur noch den entsprechenden Akku.

Wenn Du 8 LEDs in Reihe schalten würdest, bräuchtest Du eine Betriebsspannung von mindestens 28 V! Die Schaltung, die Du in Deinem ersten Post angegeben hast, arbeitet wahrscheinlich mit einem externen Netzteil.

Von den Daten her müsste der Dimmer theoretisch funktionieren. Allerdings handelt es sich um einen PWM-Dimmer, d. h. die Helligkeit wird über Pulsbreitensteuerung geregelt. Ob das bei Dir funktioniert, hängt von den Belichtungszeiten ab, die Du verwenden willst.
Zur Arbeitsweise: der Dimmer arbeitet mit 2500 Hz, d. h. die kleinste Zeiteinheit ist 0,4 msec. Wenn Du eine Helligkeit von 50 % einstellst, sind die LEDs für 0,2 msec zu 100% eingeschaltet und für 0,2 msec komplett ausgeschaltet. Bei 25 % Helligkeit dementsprechend 0,1 msec an, 0,3 msec aus, usw. Da dies 2500 mal pro Sekunde passiert und das menschliche Auge viel zu träge für so schnelle Wechsel ist, entsteht der entsprechende Helligkeitseindruck.
Solange Deine Belichtungszeit ein Vielfaches (etwa 10 x) von 0,4 msec beträgt, funktioniert dies auch beim Fotografieren einwandfrei. Eine Belichtungszeit von 1/500 sec z. B. entspricht einer Zeit von 2 msec. Hier könnte schon eine Fehlbelichtung von 10 % entstehen. Je kürzer die Belichtungszeit, desto größer der mögliche Fehler.

Brauchst Du wirklich unbedingt die Dimmfunktion? Das sollte doch genausogut über Blende und Belichtung gehen, oder?
Borax
Star-Admin
Star-Admin
Beiträge: 12243
Registriert: Mo, 10.09.07, 16:28

Mo, 19.09.11, 11:22

Wie lang erwartest Du dass eine Batterie/Akku Ladung halten soll? Und wie groß/schwer darf/soll es sein? Weil daraufhin würde ich erst mal den Akku planen, und erst dann entsprechend dazu die Widerstände...
mendowser
User
User
Beiträge: 20
Registriert: Sa, 17.09.11, 02:16

Di, 20.09.11, 15:19

Hallo zurück,

eine Dimmfunktion ist auf jeden Fall von Nöten, da ich auch kleine Tiere fotografiere.
Wie lange der Akku hält wäre 2. Prio. Nichts desto trotz werde ich dieses Akkupack hier als Stromquelle verwenden, da ich hiermit auch freier in der Wahl der einzelnen Akkus bin.

Als LEDs werde ich die beiden von ustoni vorgeschlagenen nehmen, hiermit wird die Farbtemperatur auch tiptop.

Den Alu-"Rohling" bekomme ich morgen übergeben und kann diesen dann auch an der Drehbank fertig bearbeiten.
Hierzu werde ich dann auch ein paar Fotos für eventuelle Nachahmer nachreichen :)

Bzgl. des Schaltplans bräuchte ich jedoch nochmal Hilfe und würde auf euch zurück kommen.

Vielen lieben Dank!!

Gruss
Mendowser
ustoni
Auserwählter
Auserwählter
Beiträge: 2140
Registriert: Sa, 04.06.11, 12:39
Wohnort: Mechernich

Di, 20.09.11, 16:19

Hallo!
Mit dem von Dir angegebenen Akku kommst Du auf eine Betriebsspannung von 12 V. Da Du eine Dimm-Funktion benötigst, würde ich Dir folgendes vorschlagen:
Von der Verschaltung her bleibst Du bei den 16 Reihenschaltungen von je 2 LEDs + Vorwiderstand von 56 Ohm, ausgelegt auf 50 mA bei 9 V. Die verbleibenden 3 V könnte man für eine analoge und damit stufenlose Dimm-Funktion nutzen. Hier würde sich ein einstellbarer Spannungsregler anbieten, der auf den Bereich "Durchlaßspannung der LEDs" bis 9 V berechnet ist. Bei einer Stromaufnahme von 800 mA bietet sich der LM317T an (Imax=1,5A). Die Grundschaltung sieht so aus:
Grundschaltung.jpg
Grundschaltung.jpg (18.5 KiB) 11726 mal betrachtet
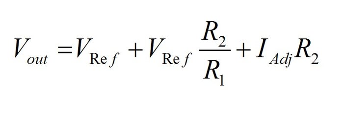
Die Ausgangsspannung berechnet sich wie folgt:
Gleichung Vout.jpg
Für R1 wird gemäß Datenblatt ein Wert von 240 Ohm empfohlen. Zu berechnen wäre also R2. Die Gleichung nach R2 umstellen:
Gleichung R2.jpg
Mit R2 = 240 Ohm, gemäß Datenblatt Vref = 1,25 V und IAdj = 0,00005 A ergibt sich die Vereinfachung:
Gleichung R2 vereinfacht.jpg
Angenommen, die LEDs haben eine Durchlaßspannung von 3,1 V. Die kleinste Spannung, die die Schaltung damit liefern muss ist 6,2 V. Für R2 ergibt sich damit ein Wert von 941,4 Ohm. Für die maximale Spannung von 9 V müßte R2 einen Wert von 1474 Ohm haben. Die Differenz wäre also 532 Ohm. Beide Werte ließen sich folglich durch eine Reihenschaltung aus zwei Widerständen mit 941,4 Ohm und 532 Ohm darstellen. Die nächsten Normwerte sind 1 kOhm und 500 Ohm. Die endgültige Schaltung sieht damit so aus:
Dimmer.jpg
Dimmer.jpg (20.09 KiB) 11726 mal betrachtet
Für die angenommenen 3,1 V Durchlaßspannung ergeben sich damit die Werte min 6.508V und max 9,1375 V. Das entspräche einem Strom von 5,5 mA bis 52 mA. In der Praxis bleibt abzuwarten, welche Durchlaßspannungen die LEDs tatsächlich haben. Ggf. können die Werte der Widerstände entsprechen angepasst werden.

Die maximal auftretende Verlustleistung des LM317T beträgt hier max. 2,4 Watt. Eine Kühlung des Reglers ist damit erforderlich.
elo22
Super-User
Super-User
Beiträge: 73
Registriert: Fr, 07.11.08, 17:14

So, 02.10.11, 05:28

mendowser hat geschrieben: Wie der Titel schon sagt, möchte ich mir eine LED Ringleuchte für meine Spiegelreflexkamera basteln.
Nimm das Teil von elv und gut.

Lutz
ustoni
Auserwählter
Auserwählter
Beiträge: 2140
Registriert: Sa, 04.06.11, 12:39
Wohnort: Mechernich

So, 02.10.11, 07:23

Du meinst sicher diese hier:

http://www.elv.de/output/controller.asp ... ch=&marke=

Hast Du eigentlich in den Posts oben irgenwas von den Anforderungen gelesen? Was erwartest Du für eine Qualität bezüglich Leuchtstärke und Lichtfarbe bei einem Teil, das von einer Apotheke für 29,95 € verkauft wird?
Ziemlich unqualifizierter Beitrag!
mendowser
User
User
Beiträge: 20
Registriert: Sa, 17.09.11, 02:16

Mo, 03.10.11, 01:16

Hallo,
wie ustony schon erleutert hat. Suchte ich schon recht bestimmte Eigenschafften für meine Ringleuchte.

BTW: Heute habe ich es endlich geschafft meine "Dimmer Box" fertigzustellen. Morgen werde ich mich noch weiter am Ring austoben .. es nimmt also langsam Gestalt an :)

Hier nochmal vielen Dank an USTony!!
Als Anfänger war mir nicht klar wie sehr ich mich ohne qualifizierte Hilfe übernommen hätte.
Ansich ist es aber eine spassige Tüftelarbeit, wo die Zeit bei mir keine Rolle spielt.

Wenn ich ein paar Schritte weiter bin, werde ich hier nochmal alles zusammenfassen, vielleicht könnte es ja noch für andere interessant werden.

Grüssle
mendowser
User
User
Beiträge: 20
Registriert: Sa, 17.09.11, 02:16

Sa, 08.10.11, 15:03

Hallo Zusammen

es wird ... :)
Ich komme meinem Ziel näher.
Letzte Nacht habe ich die Verkabelung & die LEDs im Ring fertiggelötet. Womit ich ansich ganz zufrieden bin. Bilder & Zusammenfassung werde ich hier bald für die Nachwelt posten..

Testweise habe ich es auf jeden Fall mal angeschlossen und es leuchtet! ... Nicht nur das, es leuchtet wie Hölle.
Ansich ist es sogar so hell, dass ich es als ZU hell empfinde. Selbst durch drehen am Poti ändert sich nichts in der Leuchtkraft. Daher habe ich dies mal an einen Multimeter angeschlossen um die Spannung zu prüfen.
Komischerweise kommen am Ausgang der Platine (quasi am Klinkenstecker, bzw. "LED +") knappe 12V an. Dort sollte es eigentlich so um die 9 sein oder ? Vergleichsweise habe ich mal direkt am Akku-Pack gemessen, dort liegen 13V an. Kann man in diesem Fall davon ausgehen, dass an der Platine, bzw. den Lötstellen ggf. was Faul ist ?

Da ich mich echt zuwenig mit der ganzen Thematik auskenne, ist es mir nicht wirklich möglich eine strukturierte Fehleranalyse durchzuführen, wie ich es aus meinem Job gewohnt bin.

Hat jemand Tips wie ich am bestzen Testem/Messen/Herausfinden kann was hier faul ist ?
Für den Fall dass es nachher dennoch zu Hell sein sollte, gibt es hier "unkomplizierte" Optionen (Wiederstände wechseln, etc) die Ausgangsspannung noch etwas zu drosseln ?

Abermals schönen Dank!!

Grüssle
Mendowser
ustoni
Auserwählter
Auserwählter
Beiträge: 2140
Registriert: Sa, 04.06.11, 12:39
Wohnort: Mechernich

Sa, 08.10.11, 15:08

Da ist mit Sicherheit was faul. Poste doch mal Fotos von der Platinenober- und Unterseite, dann sollte das Problem relativ schnell zu lokalisieren sein. Du solltest Die LEDs erstmal von der Schaltung weglassen, im momentanen Zustand fließen gut 100 mA durch die LEDs, das machen die nicht allzulange mit!
mendowser
User
User
Beiträge: 20
Registriert: Sa, 17.09.11, 02:16

Sa, 08.10.11, 15:31

Hallo,
anbei die 2 Bilder.
Ist meine erste Platine, daher auch die unsauberen Lötstellen..

Die einzelnen Bahnen habe ich aber durchgeprüft & e überlappt nichts (ausser am Poti, da wo es soll) ..
Kühlung ist normalerweise natürlich vorhanden ;)

Danke Dir!!
Dateianhänge
IMG_0845.JPG
IMG_0839.JPG
mendowser
User
User
Beiträge: 20
Registriert: Sa, 17.09.11, 02:16

Sa, 08.10.11, 19:07

Eine weitere Frage wären noch bzgl. des Rings (Siehe Bilder im Angang)..
Kann man ggf. davon ausgehen dass das Alugehäuse die entstehende Wärme ableitet oder sollte ich bei der Rückwand drauf achten, dass diese nicht Isoliert, bzw. Luftdurchlässig ist.

Ich hätte einen Ring aus einer alten Flex-Trennscheibe (ist mir neulich in die Finger gefallen und hatte zufällig auf den 1/10mm genau das perfekte Aussenmass ;) ) und einen habe ich mir aus einer Autolautsprecher-Abdeckung (Blechgitter) geschnitten.

Zwecks Wärmeabfuhr wäre natürlich das Gitter besser, aber fester und besser zu fixieren wäre der andere Ring. Was denkt Ihr ?

Grüssle & Danke
Dateianhänge
IMG_0833.JPG
IMG_0826.JPG
IMG_0823.JPG
ustoni
Auserwählter
Auserwählter
Beiträge: 2140
Registriert: Sa, 04.06.11, 12:39
Wohnort: Mechernich

Sa, 08.10.11, 19:23

Die Verdrahtung scheint soweit zu stimmen.
Löt.jpg
Ist da, wo ich die blaue Linie eingezeichnet habe, eine Drahtbrücke ? Wenn nein, fehlt sie.

In der Nähe des dritten Potianschlusses von unten habe ich einen roten Kreis eingezeichnet. Da könnten noch Kupferreste stehen. Eine gute Idee wäre zunächst einmal mit einem Multimeter im 100 bzw. 200 Ohm Bereich benachbarte Leiterbahnen auf Kurzschluss zu überprüfen, Jeder niederohmige Wert (z.B. < 50 Ohm) deutet schon mal auf ein Problem hin.

Überprüf nochmal den 240 Ohm Widerstand auf seinen korrekten Wert, der Farbcode ist auf dem Foto schwer zu erkennen.

Wenn hier schon mal kein Kurzschluss (mehr) vorhanden ist, nochmal unter Spannung messen. Dazu zunächst zwischen LED+ und LED- einen kleinen Widerstand (z.B. 56 Ohm) löten, das reicht als Last für den LM317 aus. Dann schliess den Akku nochmal an und mess die Spannung über dem 240 Ohm Widerstand.
Rote Leitung an Vout vom LM317, schwarze an Ref. Dort muss eine Spannung von 1,20 bis 1,30 Volt zu messen sein, und zwar völlig unabhängig von der Stellung des Potis.

Zum Ring:
Du solltest auf jeden Fall das Gitter nehmen. Bei den SuperFlux-LEDs erfolgt die Wärmeabfuhr über die Anschlussbeine, nicht übers Gehäuse!
Antworten